يد تبني... ويد تزرع

  • الرئيسة
  • بلدية علار
  • سجل الزوار
  • الأرشيف
  • اتصل بنا
  • كلمة رئيس البلدية
  • المجلس البلدي
    • أعضاء المجلس البلدي
    • لجان المجلس البلدي
    • قرارات المجلس البلدي
  • الهيكل الإداري
  • خدمات البلدية
    • مركز خدمة الجمهور
    • قسم المياه
    • قسم الكهرباء
    • قسم الهندسة
    • قسم الصحة والبيئة
    • قسم العلاقات العامة
  • المشاريع
    • المشاريع المنجزة
    • المشاريع قيد التنفيذ
    • المشاريع المستقبلية
  • اجتماعيات
  • البوم الصور
  • متفرقات
    • دليل الهاتف

إعلانات

اعلان اطلاق خدمة شحن الكهرباء خارجيا
الاجتماع التمهيدي للخطة 2023/2026
اعلان اذن بديل
التوقيت الشتوي
اعلان

مركز خدمة الجمهور

البوم الصور


تقارير خاصة بالمجلس

قرارات المجلس البلدي في جلسته رقم 36/2022
تقرير ديوان الرقابة المالية والادارية حول اداء بلدية علار
تقرير قسم الكهرباء الربع سنوي
تقرير قسم المياه الربع سنوي
تقرير مدقق الحسابات الخارجي

التقارير المالية

موازنة بلدية علار 2025

الخطط الاستراتيجية

الخطة التنموية الاستراتيجية 20 ...

بلدية علار » المحتوى » تقارير مالية

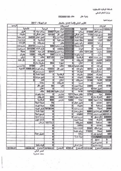
التقارير المالية عن شهر 8+9 للعام 2017

التقارير المالية عن شهر 8+9 للعام 2017



الثلاثاء | 31/10/2017 - 12:33 مساءً


التعليـــقات 
جميع التعليقات تعبر عن وجهة نظر اصحابها وليس عن وجهة نظر موقع بلدية علار الالكتروني

آخر الاضافات للموقع
شعار جديد
سفيان شديد
الخدمات التي تقدمها البلدية للمواطنين
أرقام مباشرة
  • العنوان
  • 092666166
  • info@ellar.ps
تواصل معنا من خلال
ابحث في الموقع
تصميم وتطوير | | فلسطين
© 2026 جميع الحقوق محفوظة لـ موقع بلدية علار الالكتروني